【全国】切换城市 > 您好,欢迎访问厦门雄发仪器仪表有限公司官网!

  密度计-水分测定仪厂家

  快速--准确--简单--耐用

187-5927-8268
0592-5187269
密度计技术资料
联系我们

厦门雄发仪器仪表有限公司

地址:厦门市同安区瑶江里162号602
电话:0592-5187269

咨询热线187-5927-8268

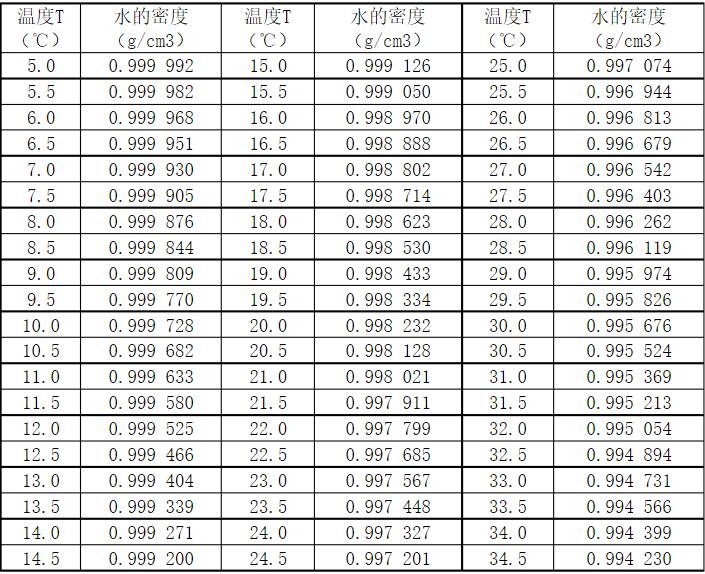
水在不同温度下的密度比重

发布时间:2020-10-24人气:4393

水在4时密度最大,是由于水分子间有氢键缔合这样的特殊结构所决定的。根据近代X射线的研究,证明了冰具有四面体的晶体结构。这个四面体是通过氢键形成的,是一个敞开式的松弛结构,因为五个水分子不能把全部四面体的体积占完,在冰中氢键把这些四面体联系起来,成为一个整体。这种通过氢键形成的定向有序排列,空间利用率较小,约占34%、因此冰的密度较小。

水溶解时拆散了大量的氢键,使整体化为四面体集团和零星的较小的“水分子集团”(即由氢键缔合形成的一些缔合分子),故液态水已经不象冰那样完全是有序排列了,而是有一定程度的无序排列,即水分子间的距离不象冰中那样固定,H2O分子可以由一个四面体的微晶进入另一微晶中去。这样分子间的空隙减少,密度就增大了。

温度升高时,水分子的四面体集团不断被破坏,分子无序排列增多,使密度增大。但同时,分子间的热运动也增加了分子间的距离,使密度又减小。这两个矛盾的因素在4时达到平衡,因此,在4时水的密度最大。过了4后,分子的热运动使分子间的距离增大的因素,就占优势了,水的密度又开始减小。

你觉得这篇文章怎么样?

1 0
标签:

评论

发表

推荐资讯

0592-5187269